1、光伏项目度电成本的计算
度电成本(LCOE)是评价风电、光伏等新能源发电项目最重要的经济指标之一,直接影响了项目的投资收益率。根据国内外的财务模型,度电成本的计算一般有以下两种方式。
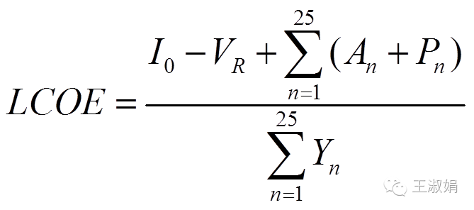
公式1:国内财务软件常用的测算公式

上述公式中,将总投资(初始投资扣除残值后和25年运营成本加和)除以总发电量,非常简单明了、易于理解。因此,在国内的财务评价中被广泛使用。但其缺点是没有考虑资金的时间价值。
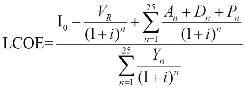
公式2:国际上常用的测算公式
陈荣荣、孙韵琳等人在《并网光伏发电项目的LCOE分析》中,介绍了国际上的测算度电成本的计算公式。

注:公式2中字母的定义与公式1相同。
在公式2中,充分考虑了资金的时间价值,用折现率i将不同时间的成本都折成现值;同时,也考虑不同时间的发电量会带来不同的现金流,因此也对发电量进行折现。
上述两个公式,无论哪种,是否考虑资金的时间价值,都有一个共同点,即度电成本主要是由下列三要素决定:
1)初始投资、2)经营成本、3)发电量
因此,降低初始投资成本、经营成本或提高总发电量,都有利于降低光伏发电的度电成本。
2、初始投资的影响因素
项目的初始投资的组成可以分为以下几项。其中,设备费中,除了组件以外的其他项目投资被称为BOS成本。

BOS成本中,有很多项目是与光伏项目的面积相关的,如下图中的黄色部分。
相同数量的组件(面积相同),无论使用270W还是300W,支架、基础、电缆等投资总量都是相同的,但显然高效组件均摊的单瓦投资会明显低于低效组件。

除了BOS成本以外,高效组件还可以降低土地成本(屋顶组件)。在不同的条件下,高效组件节省的BOS成本和土地成本是不相同的。
以270W光伏组件为基础,不同效率组件的BOS成本降低水平,如下表所示。

以270W光伏组件为基础,按照8%的折现率、20年租金计算,不同效率组件的屋顶租金降低水平,如下表所示。

可见,在合理的价格差异之下,当
(高效组件价格-低效组价价格)
高效PERC组件能够降低光伏项目的初始投资。
3、PERC组件对于发电量的影响
(以下内容节选自亚化咨询《PERC技术专刊》)
目前的高效组件以PERC组件为主,PERC组件基于以下两大优势可以实现多发电:
a) 优秀的低辐照性能
b) 更好的功率温度系数
1、PERC电池优秀的低辐照性能
PERC电池具有更高的开路电压和更优的红外背反射性能。小于标准光强下的相对效率主要由开路电压的变化来决定,常规电池的相对开路电压低于PERC电池,且光强越弱,相对效率相差越多;而且PERC电池红外波段的量子效率显著提高,在1000nm以上红外光的光电转化率高。因此PERC组件在正常辐照下由于低辐照特性可以多发电,而在阴雨天以及早晚,相对常规组件的多发电优势更加明显。
2、更好的功率温度系数
虽然PERC电池由于红外波段量子效率高,其电流温度系数略高;但PERC电池的开路电压更高,其电压温度系数低。综合来看,PERC电池的功率温度系数低于常规电池。公开数据显示,PERC组件的功率温度系数为0.39%/˚C,低于常规单晶组件的0.41%/˚C。
PERC电池优秀的低辐照性能和更好的功率温度系数带来了每瓦组件更多的发电量。在《由实证基地数据分析哪种组件发电量高》中对PERC组件的这一特点进行了介绍。
案例1:中国电器科学研究院三亚实证基地
中国电器科学研究院国家重点实验室研究披露了在三亚湿热海洋气候下,单晶PERC组件与多晶组件在户外实证基地的电站发电情况。
三亚实证基地使用来自一线厂商的290W单晶PERC组件与265W多晶组件和270W多晶组件,搭配3kW逆变器,分别接入8块晶硅组件,比发电量(单位安装容量下的发电量)计算采用组件实测功率。

上图为三亚实证基地2016年10月至2017年9月的发电情况。可以看出,使用了单晶PERC组件的系统每月日均比发电量始终高于多晶组件系统,每日增发电比例范围约为2%~6%。从一年的运行数据来看,290W单晶PERC组件日平均比发电量相比265W多晶组件系统高出4.07%,相比270W多晶组件系统高出2.93%。
案例2:晶澳实证电站
2017年晶澳太阳能在公开演讲中分享了单晶PERC组件在大型电站方面的发电表现,如下图所示。晶澳太阳能在50MW大同领跑者项目中,分别使用了25MW单晶PERC 295W组件与25MW常规多晶270W组件。从运行一年的数据来看,晶澳单晶PERC组件比常规多晶组件每千瓦平均多发电2.9%左右。

案例3:大同光伏“领跑者”基地
中国电力科学研究院于2016年在山西大同光伏“领跑者”基地内建设光伏电站实证监测平台,对基地内所用所有类型光伏组件等运行性能开展现场长期实证监测,通过海量运行数据对光伏电站关键部件中长期运行性能开展评估工作。
该实证平台组件测试区涉及13家电站31种光伏组件,部分运行数据如图13所示。该组数据对比了265W常规单晶双玻组件、280W常规单晶组件与280W单晶PERC组件的发电量。可以看出,280W单晶PERC组件发电量高出280W常规单晶组件和265W常规单晶双玻组件。通过测算,280W单晶PERC组件比280W常规单晶组件发电量高5.3%。
还没有人评论过,赶快抢沙发吧!