华北电网有限公司,国网北京市、天津市、冀北电力有限公司,京津唐电网各直调电厂、新能源企业:
按照《关于印发实施华北区域发电厂辅助服务管理及并网运行管理实施细则的通知》(华北电监市场〔2008〕112号)(简称“两个细则”),《华北能源监管局关于印发〈华北区域风电场并网运行管理实施细则〉的通知》(华北监能市场〔2015〕381号),《华北能源监管局关于印发〈华北区域光伏发电站并网运行管理实施细则〉的通知》(华北监能市场〔2016〕584号)要求,华北、北京、天津和冀北电网电力调控中心完成了京津唐电网发电企业2019年6月份“两个细则”运行结果计算与统计工作。2019年7月25日,华北电网有限公司向我局报送了2019年6月份“两个细则”运行结果明细清单。现将有关情况通知如下。
一、京津唐电网直调机组
2019年6月,京津唐电网直调机组“两个细则”总考核费用和总补偿费用分别为6379万元、5916万元。
二、京津唐电网风电场
各风电场2019年6月份的考核总费用979.63万元,补偿分摊总费用375.39万元。
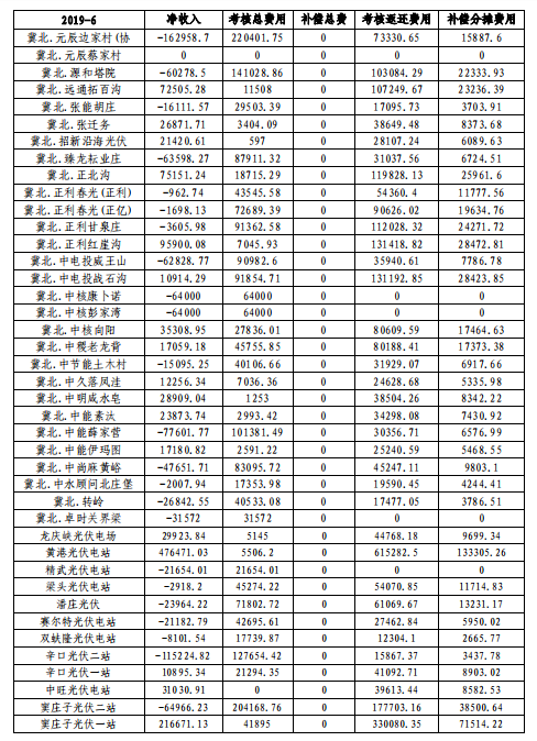
三、京津唐电网光伏电站
各光伏发电站2019年6月份的考核总费用888.7万元,补偿分摊总费用192.54万元。
我局对以上结果进行了审核。截至目前,未接到发电企业对上述结果的争议或申诉报告。按照相关规定,现对2019年6月份京津唐电网直调电厂、各风电场、各光伏电站辅助服务补偿和并网考核结果予以发布。
请华北电网有限公司和国网北京市、天津市、冀北电力有限公司据此文件,及时结算各发电企业2019年6月份“两个细则”费用



还没有人评论过,赶快抢沙发吧!