硫化钠调控水热反应动力学,硫硒化锑太阳能电池认证效率达10.7%_SOLARZOOM光储亿家
设为首页收藏本站联系我们
| | | | | | | | |
硫化钠调控水热反应动力学,硫硒化锑太阳能电池认证效率达10.7%
  • 2026-01-22 11:24:04
  • 浏览:6652
  • 来自:科学网

2026年1月14日,澳大利亚新南威尔士大学郝晓静教授(澳大利亚科学院院士、澳大利亚技术科学与工程院院士)团队和中国科学技术大学陈涛教授团队合作在Nature Energy期刊上发表了题为“Regulation of hydrothermal reaction kinetics with sodium sulfide for certified 10.7% efficiency Sb2(S,Se)3 solar cells”的研究成果。

该成果系统解析了Sb2(S,Se)3水热沉积过程中的化学反应路径,并通过引入Na2S添加剂调控反应动力学,成功制备出认证效率达10.7%的Sb2(S,Se)3太阳能电池,刷新了该材料太阳能电池的效率纪录。

硫硒化锑Sb2(S,Se)3作为一种二元准一维结构的无机薄膜光伏材料,因其高吸收系数、可调带隙以及原料储量丰富等优势,近年来受到广泛关注。其在可见光与近红外波段具有超过105 cm-1的高吸收系数,这一特性使其在仅数百纳米厚的情况下,仍可实现有效光吸收。此外,其1.1–1.7 eV的可调带隙,使Sb2(S,Se)3成为硅基叠层电池潜在的理想顶电池候选。

在众多制备方法中,水热沉积因其工艺温度低、可溶液处理、薄膜结晶质量高等优势,成为当前实现高效率Sb2(S,Se)3太阳能电池的核心技术路线。目前已报道的10%以上效率器件几乎均基于水热法实现,充分体现了该方法的潜力。然而,水热反应通常在密闭反应釜中于高温高压条件下进行,反应过程难以原位监测,其具体反应路径和动力学机制长期缺乏清晰认识。这一认知缺失直接导致薄膜生长过程难以精确调控,常伴随着沿厚度方向的硒/硫成分梯度、不利的价带顶分布以及较高浓度的深能级缺陷,从而限制了器件效率的进一步提升。因此,从化学反应本质出发,系统揭示水热沉积过程中的反应机制,并在此基础上实现反应动力学的可控调节,是推动Sb2(S,Se)3光伏器件性能突破的关键科学问题。

在传统Sb2(S,Se)3水热沉积体系中,硫源(S2O32-)与硒源(硒脲,SU)在高温高压条件下并非独立参与反应,而是首先发生复杂的前驱体转化。研究发现,SU会在S2O32-的参与下生成SeSO32-中间体,该中间体中的Se–S键相较于S2O32-中的S–S键更容易断裂,从而在反应初期更有利于Sb–Se键的形成。这一过程导致硒在沉积早期被快速消耗,而随着硒脲的迅速耗尽,后期沉积过程逐渐转向以Sb2S3的形成为主。最终,这种时间依赖性的反应动力学在薄膜厚度方向引入了显著的Se/S成分梯度。该成分不均匀性不仅影响薄膜的微观结构,还为后续器件中的能带畸变和缺陷形成埋下隐患,是限制水热法Sb2(S,Se)3器件性能提升的关键因素之一。

针对上述反应失衡问题,作者在前驱体溶液中引入了少量硫化钠(Na2S),并发现其在水热体系中起到了多重调控作用。Na2S在溶液中可发生可逆水解从而有效提高并缓冲体系pH,避免反应过程中溶液逐渐酸化。pH的稳定显著减缓了硒脲的分解速率,抑制了反应初期Se的过快释放,使SeSO32-的生成与消耗更加平衡。进而使Sb2S3与Sb2Se3的生成过程在整个沉积过程中更加协同。得益于这一动力学调控机制,Sb2(S,Se)3薄膜在整个厚度方向实现了稳定且均匀的硒/硫分布。沉积速率更加平缓,显著减少了传统水热体系中常见的内部空洞和结构不连续问题。

图1:水热反应原理。a,在STS与SU水热反应后,对反应溶液进行真空干燥所得残留物的拉曼光谱。位于343、447和458 cm-1的特征峰分别对应于SeSO32-的Se–S伸缩振动、S2O32-的S–S伸缩振动以及SO42-的v2模式(对称弯曲振动)。插图:样品外观。b,两步水热反应后所得沉淀物的X射线衍射(XRD)图谱。反应悬浊液经离心收集沉淀,并进行后续退火处理。衍射峰可分别索引为Sb2S3(PDF#42-1393)和Sb2Se3(PDF#15-0861)。c, d, 控制条件(CT,c)和引入Na2S的SS条件(d)下水热合成主要反应路径的示意图。蓝色、橙色和粉紫色箭头分别表示三条随时间演化的主要反应路径,即路径 i:Sb2S3的生成、路径 ii:Sb2Se3的生成以及副产物生成路径。箭头宽度表示反应速率。中间体、产物和副产物分别以绿色、浅蓝色和红色方框标示。插图为对应的反应速率与pH随时间变化曲线,显示SS条件下的反应速率明显比CT条件更为平稳。

Sb2(S,Se)3的价带顶主要由S 3p和Se 4p轨道贡献,因此硒/硫比例沿厚度方向的变化会直接导致价带能级的空间起伏。传统水热薄膜中,由于Se在早期富集、后期不足,形成了沿厚度方向逐渐下降的不利价带顶(VBM)梯度。在superstrate结构器件中,空穴需要穿过整个吸收层才能被空穴传输层收集,该VBM梯度会在体内形成额外的能垒,严重阻碍空穴输运并加剧体相复合。通过Na2S调控反应动力学后,Sb2(S,Se)3薄膜中硒/硫分布趋于均匀,VBM梯度被有效“拉平”。阴极发光(CL)表征结果显示,不同深度处的发光峰位保持高度一致,同时整体发光强度明显增强,表明非辐射复合显著降低。能带结构的均匀化与体相复合的抑制协同作用,为高效载流子输运提供了关键物理基础。

图2:元素分布。a、b, CT样品(a)和SS样品(b)的横截面TEM图像及对应的EDS元素分布图。c、d, 沿a、b图中黄色箭头方向得到的CT样品(c)和SS样品(d)的原子百分比随深度变化的分布曲线。横截面样品通过聚焦离子束(FIB)制备,监测的元素包括O、S、Se、Cd、Sn和Sb。

图3:横截面阴极发光(CL)光谱及能带边分布。a–c, CT 样品横截面的扫描电子显微镜(SEM)图像(a)、阴极发光(CL)分布图(b)以及沿起始点方向(由橙色箭头标示)的CL光谱(c)。d–f, SS样品横截面的扫描电子显微镜(SEM)图像(d)、阴极发光(CL)分布图(e)以及沿起始点方向(由橙色箭头标示)的CL光谱(f)。其中,a和d中橙色箭头的起点定义为Origin(起始点)。超薄横截面样品均通过聚焦离子束(FIB)制备。在b和e中,图像亮度对应于选定带通波长窗口内的CL强度。不同深度处获得的光谱线型叠加于同一图中,以直观展示峰位随深度变化的行为,详见补充图7和8.c 和 f中出现的高能峰源自CdS层。g, 由c和f中CL光谱提取的峰位能量。h, CT与SS样品在沉积早期阶段的CL光谱对比。i、j, CT(i)和SS(j)器件的能带边分布示意图。沉积早期的Sb2(S,Se)3薄膜通过将水热反应时间缩短至20 min制备,最终厚度约为20 nm。Sb2(S,Se)3的能带位置通过紫外光电子能谱(UPS)和UV–vis吸收光谱测定。蓝色带“+”号的圆点表示体内自由空穴,其需沿箭头方向传输并最终被Spiro-OMeTAD收集。ΔE表示在CT条件下由于价带顶(VBM)梯度引入的空穴传输能垒,该能垒在SS条件下消失。a.u. 表示任意单位。

进一步的O-DLTS表征表明,传统水热体系中Sb2(S,Se)3薄膜普遍存在较高浓度的深能级缺陷,主要包括硫空位(V_S)和Sb_S反位缺陷。这类缺陷能级较深,难以电离,是强烈的Shockley–Read–Hall复合中心,会显著缩短载流子寿命。Na2S的引入在降低反应速率的同时,使前驱体原子有更充分的时间占据热力学上更稳定的晶格位点,从而显著抑制了深能级缺陷的形成。此外,溶液中直接参与反应的S2-也有助于局部化学计量比的恢复,减少未饱和键的生成。实验结果显示,调控后薄膜中深能级缺陷的俘获截面与缺陷密度乘积降低近两个数量级,使得载流子浓度明显提高,串联电阻降低,器件的短路电流密度和填充因子均获得显著提升。最终,该策略帮助器件实现了11.02%的最高效率,并获得了10.7 ± 0.37%的权威认证效率。

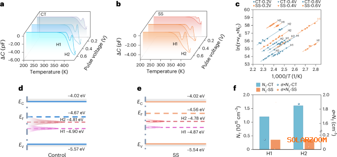
图4:缺陷表征。a、b, 在脉冲电压为0.2 V、0.4 V和0.6 V 条件下,CT样品(a)和 SS 样品(b)的 O-DLTS 信号。两个负峰(H1 和 H2)对应于Sb2(S,Se)3中的空穴陷阱(施主型缺陷)。c, 由 O-DLTS 信号得到的 Arrhenius 作图,其中 vth 表示热速度。c 图中的数据点通过对 O-DLTS 信号中包含的内部瞬态过程进行离散拉普拉斯变换计算获得,实线为对数据点的线性拟合结果。d、e, 在脉冲电压为 0.2 V 条件下,CT 和 SS 样品的能带结构及缺陷能级示意图。其中 Ec、Ev 和 EF分别表示导带底(CBM)、价带顶(VBM)和费米能级。各能级均以对应的电子伏特(eV)数值标注。锥形阴影区域表示缺陷的俘获截面大小(开口宽度)及缺陷密度(延伸程度)。f, 在脉冲电压为 0.2 V 条件下,H1 和 H2 缺陷对应的缺陷密度 NT及 (σ × NT) 的数值。为清晰展示相差一个至两个数量级的数据,右侧纵坐标轴采用了断轴处理。

图5:载流子浓度与光电性能。a, 由 C–V 测量得到的Mott–Schottky曲线,用于表征Sb2(S,Se)3体相中的有效载流子浓度,其在纵轴上以NCV表示。横轴中的Wd表示在所施加偏压下的耗尽区宽度。b、c, CT和SS器件的J–V曲线(b)及外量子效率(EQE)曲线(c)。d–g, CT(n = 9)和 SS(n = 22)器件的开路电压(Voc)、短路电流密度(Jsc)、填充因子(FF)以及光电转换效率(PCE)的统计分布。d–g 中箱线图的最小值、最大值、中位值、箱体边界、须线范围及分位数定义一致,具体说明见g图中的图例。

这项工作不仅在效率上实现突破,更重要的是从化学反应机理层面解决了Sb2(S,Se)3水热沉积中的关键瓶颈。通过简单而有效的Na2S添加策略,研究团队成功调控反应动力学,系统性提升了材料与器件质量,最终推动Sb2(S,Se)3太阳能电池效率达到11.02%,并获得10.7%的权威认证效率。该研究为进一步提升锑基硫属化合物太阳能电池性能奠定了坚实基础,也为其他溶液法光伏材料的反应动力学优化提供了重要借鉴。

【责任编辑:ada.sun】
投稿、咨询、爆料——电话:(021)50315221-812,邮箱:edit@solarzoom.com,QQ:2880163182
0条评论
还没有人评论过,赶快抢沙发吧!

匿名发表

微信公众号:
Solarzoom光伏太阳能网
微博公众号:
SOLARZOOM光伏太阳能网
  • 一天
  • 一周
  • 一月
  • 每日资讯
  • 光伏杂志
  • 专题
  • 每日光伏市场参考
马上订阅
印度商工部反倾销局(DGAD)正式公告,将对中国大陆、台湾、马来西亚等地进口的太阳能电池展开反倾销调查。同时,欧盟对中国大陆的
联系我们:021-50315221 服务邮箱:10000@solarzoom.com