澳洲最新并网标准 AS/NZS 4777.2:2015正式颁布_SOLARZOOM光储亿家
设为首页收藏本站联系我们
| | | | | | | | |
澳洲最新并网标准 AS/NZS 4777.2:2015正式颁布
  • 2015-12-09 11:12:31
  • 浏览:10496
  • 来自:SOLARZOOM光伏亿家

前言

由澳大利亚标准局/新西兰标准局EL-042可再生能源电力系统及设备委员会编制的最新并网标准AS/NZS 4777.2: 2015,已于2015年10月9日正式颁布,替代原并网标准AS/NZS 4777.2&.3: 2005,针对光伏逆变器并网要求有大幅度更新。新标准的实行过渡期为1年,自2016年10月9日起,将强制实行。

更新部分Update

1Scope 范围

Inverter connect to the LV network.

10kVA for single phase inverter, 30kVA for three phase inverter.

2Power Factory 功率因素

Cl 5.5: PF within the range 0.95lead to 0.95lag for 25% to 100% of rated current.

Cl 4.4: PF within the range 0.8lead to 0.95lag for 20% to 100% of rated output power.

3Harmonic currents 谐波电流

Cl 5.6:

Cl 4.5:

Comments: Odd harmonic current limits changed for order 9,15,17,19,21.

4Voltage Fluctuation & Flicker 电压闪变

Cl 5.7: AS/NZS 61000.3.3 and AS/NSZ 61000.3.11.

Cl 4.6: AS/NZS 61000.3.3 and AS/NSZ 61000.3.5.

5DC Current Injection 直流分量

Cl 5.9: not exceed 0.5% of rated current or 5mA for both grid tied or stand-alone inverter, whichever is greater.

Cl 4.9: not exceed 0.5% of rated current or 5mA, whichever is greater.

Comments: add the same requirement for stand-alone inverter.

6Active Anti-islanding Protection主动孤岛保护

Cl 7.3: comply with IEC 62116 or appendix F.

Cl 5.5: comply with appendix B.4.

7Voltage & Frequency Limits电压和频率限制

Cl. 7.4:

Cl. 5.3: UV/OV: 200V/270V, 2s; UF/OF: 45Hz/55Hz, 2s;

Comments: Over and Under trip value and trip time changed.

新增部分NEW

8PV array earth fault PV 侧接地故障检测

Cl. 5.3:

9Current Balance for Three-phase Inverters 三相电流不平衡度

Cl. 5.10: within 5% of rated current.

10Inverter Demand Response mode(DRM) 逆变器命令响应要求

Cl. 6.2.1:

11Interaction with Demand Response Enabling Device(DRED) 命令响应装置

Cl. 6.2.2: The inverter shall have a terminal block or RJ45 for connecting to DRED. The pins of terminal block and RJ45 shall comply with this standard.

12Voltage Response Modes 电压响应模式

Cl. 6.3.2.2: P(U) curve, fig2(a) for AU, fig2(b) for NZ (default: enable)。

13Volt-var Response Mode 电压-无功响应模式

Cl. 6.3.2.3: Q(U) curve (default: disable)。

14Voltage Balance Mode 电压平衡模式

Cl. 6.3.2.4.

15Fixed Power Factor Mode & Reactive Power Mode 固定功率因数及无功模式

Cl. 6.3.3: min. power factor adjustable range:

0.8lead to 0.8lag; max. reactive power range:

-100%Sn to +100%Sn (default: disable)。

16Power Factor Curve for cosϕ(P)cosϕ(P) 的功率因数曲线

Cl. 6.3.4: cosϕ(P) curve, 0.9lead to 0.9lag (default: disable)。

17Gradient of Power Rate Limit 功率变化率限制

Cl. 6.3.5.2: Default value 16.67%Pn /min., adjustable range: 5% to 100%Pn/min.

18Sinusoidal Output in Stand-alone Mode 离网模式下交流正弦输出模式要求

Cl. 6.4.2: Voltage THD<5%.

19Volt-watt Response Mode for Charging of Energy Storage 储能系统充电模式下的电压-功率响应

Cl. 6.4.3: The charging is limited due to the voltage is low.

20Automatic Disconnection Device 并网保护装置

Cl. 7.2: Similar as VDE-AR-N4105/ IEC 62109-2.

21Sustained Operation for Voltage Variations 持续电压变化保护

Cl. 7.5.2: 10 min. average value: 255V in AU, 248 in NZ.

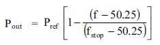
22Response to an Increase in Frequency 过频降载

Cl. 7.5.3.1: Similar as CEI 0-21.

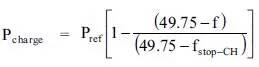
23Response to a Decrease in Grid Frequency (for ESS only) 储能系统的欠频响应

Cl. 7.5.3.2: Charge power decrease during under frequqncy.

24Connection & Reconnection Prcedure 启动与重连

Cl. 7.7: Voltage according IEC 60038 (for NZ) and AS 60038 (for AU); Frequency range: 47.5Hz~50.15Hz.

25Inverter Current Balance Across Multiple Phases 三相电流不平衡度

Cl. 8.2: Imbalance current not more than 21.7A.

26Multiple Inverter Combinations 多机并联

Cl. 8.5:

27Marking & Documents 铭牌与文件

Cl. 9: Similar as IEC 62109.

28Appendix I 附件I

Demand and power qulity response mode testing.

End 更多详情敬请联系

1   华东地区

     沈志浩 先生

     Mobile: 18516058619

    Tel : 021-61081556

    Email : Jerry.shen@tuv.com

2  华南地区

    曾丽勇 先生

    Mobile: 15990202219

    Tel : 0755-82681298

    Email : Kevin.Zeng@tuv.com

3  华北地区

    周俊 先生

    Mobile: 13811752335

   Tel : 010-65666660-333

   Email : Camper.Zhou@tuv.com

4  台湾地区

    陳君盈 女士

    Tel : +886-221721063

     Email : Sharoncy.Chen@tuv.com

【责任编辑:ada.sun】
投稿、咨询、爆料——电话:(021)50315221-812,邮箱:edit@solarzoom.com,QQ:2880163182
关键字阅读: 莱茵 澳洲 并网标准
0条评论
还没有人评论过,赶快抢沙发吧!

匿名发表

微信公众号:
Solarzoom光伏太阳能网
微博公众号:
SOLARZOOM光伏太阳能网
  • 一天
  • 一周
  • 一月
  • 每日资讯
  • 光伏杂志
  • 专题
  • 每日光伏市场参考
马上订阅
印度商工部反倾销局(DGAD)正式公告,将对中国大陆、台湾、马来西亚等地进口的太阳能电池展开反倾销调查。同时,欧盟对中国大陆的
联系我们:021-50315221 服务邮箱:10000@solarzoom.com