FeSe单晶的高压霍尔效应研究获进展_SOLARZOOM光储亿家
设为首页收藏本站联系我们
| | | | | | | | |
FeSe单晶的高压霍尔效应研究获进展
  • 2017-04-24 09:39:32
  • 浏览:2712
  • 来自:中国科学院网站

费米面拓扑结构及其与磁性的相互关联,被认为是理解铁基高温超导机理的关键。大多数FeAs基高温超导体的能带结构包含位于布里渊区中心的空穴型费米面和位于布里渊区顶角的电子型费米面,因此,空穴和电子费米面之间的散射被普遍认为是铁基超导电子配对的重要机制。但是,在FeSe基高温超体系中,包括AxFe2-ySe2 (A=K,Cs,Rb,Tl)、(Li1-xFex)OHFeSe、单层FeSe/SrTiO3薄膜等只有电子型费米面,没有空穴型费米面,这使得费米面嵌套机制不再适用。FeAs基和FeSe基高温超导体系不同的费米面拓扑结构,是对统一理论框架下理解铁基高温超导机制很大的挑战。

不同于碱金属插层或者生长单层膜等对FeSe进行电子掺杂的手段,施加物理高压原则上没有引入额外的电荷载流子,但是也可以实现接近40K的高温超导电性。最近,中国科学院物理研究所/北京凝聚态物理国家实验室(筹)极端条件物理实验室EX6组研究员程金光与研究生孙建平、叶光洲、博士后Prashant Shahi等,与国内外多个课题组合作,采用在物理所搭建的国内第一套立方六面砧大腔体高压低温物性测量装置(可同时实现15GPa静水压、1.5K最低温和9T磁场),通过详细的高压下电阻率测试,绘制了FeSe单晶完整的温度-压力相图【Nature Communications 7, 12146 (2016)】,揭示出高温超导相恰好出现在长程磁有序消失的临界点附近,与FeAs基高温超导体系类似。为了进一步揭示其高温超导的机制,高压下的电子结构信息至关重要。然而,高压下无法开展角分辨光电子能谱测量,而量子振荡测量也非常困难。为了克服这一难点,最近他们详细研究了FeSe单晶高压下的霍尔效应,首次获得了FeSe单晶高压下的电子结构信息。

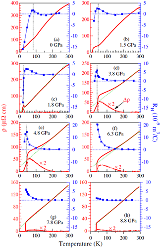
如图1 所示,当P<2GPa时,费米面在四方-正交结构相变(电子向列序)温度Ts处存在明显重构,造成低温正常态的电输运性质由电子型载流子主导,与常压下的角分辨光电子能谱、量子振荡测量等给出的结果一致。当P>2GPa时,长程磁有序出现,此时正常态的电输运性质变成由空穴型载流子主导(详细数据见图2和图3),霍尔电阻在整个温区都变为正值。特别是在Pc = 6GPa附近,此时长程磁有序恰好消失而且超导Tc最高,霍尔系数呈现出显著增强,提高了超过一个数量级。由于Pc附近正常态的顺磁区不会出现载流子数目的显著降低,因此,霍尔系数的增强主要归因于反铁磁临界点附近自旋涨落的增强而造成的载流子迁移率降低。在重费米子体系的反铁磁量子临界点附近也观察到类似现象。这一结果表明FeSe高压下出现的高温超导相与反铁磁临界涨落具有重要联系。

FeSe单晶高压下的电子相图表明其高压下具有空穴型主导的电荷载流子,即存在空穴型费米面,因此其费米面结构与前面提到的其它FeSe基高温超导体系截然不同。结合第一性原理计算,他们进一步证实高压下存在电子型和空穴型费米面,因此支持费米面嵌套和电子-空穴散射机制,与FeAs基高温超导体系非常类似。该工作对深入理解FeSe单晶的独特性质、统一理解FeSe和FeAs基高温超导机理提供了重要实验依据。

相关研究成果近日发表于《物理评论快报》(Physical Review Letters 118,147004 (2017))。该工作得到国家自然科学基金委(11574377)、科技部(2014CB921500)、中科院B类先导专项(XDB07020100)和前沿重点项目(QYZDB-SSW-SLH013)的支持。参与该工作的合作者包括:美国橡树岭国家实验室博士阎加强和B. C. Sales,日本东京大学教授Y. Uwatoko和T. Shibauchi研究组,美国密苏里大学教授D. J. Singh和清华大学教授张广铭。

图1. FeSe单晶的温度-压力相图和霍尔系数电子相图。Ts:四方-正交结构相变(电子向列序Nematic)转变温度;Tm:长程磁有序转变温度;Tc:超导(SC)转变温度。

图2. FeSe单晶不同压力、不同温度下的霍尔电阻数据。

图3. FeSe单晶在不用压力下的电阻率和霍尔系数随温度的变化关系。

【责任编辑:liuchang】
投稿、咨询、爆料——电话:(021)50315221-812,邮箱:edit@solarzoom.com,QQ:2880163182
0条评论
还没有人评论过,赶快抢沙发吧!

匿名发表

微信公众号:
Solarzoom光伏太阳能网
微博公众号:
SOLARZOOM光伏太阳能网
  • 一天
  • 一周
  • 一月
  • 每日资讯
  • 光伏杂志
  • 专题
  • 每日光伏市场参考
马上订阅
印度商工部反倾销局(DGAD)正式公告,将对中国大陆、台湾、马来西亚等地进口的太阳能电池展开反倾销调查。同时,欧盟对中国大陆的
联系我们:021-50315221 服务邮箱:10000@solarzoom.com