微信
微博
设为首页
收藏本站
联系我们
登录
自动登录
首页
|
资讯
|
智库
|
论坛
|
杂志
|
专题
|
人物
|
电商
|
电站交易
|
分布式
新闻
新闻
新闻
视频
人物
帖子
首页
>>
资讯
>>
产业要闻
>>
查看内容
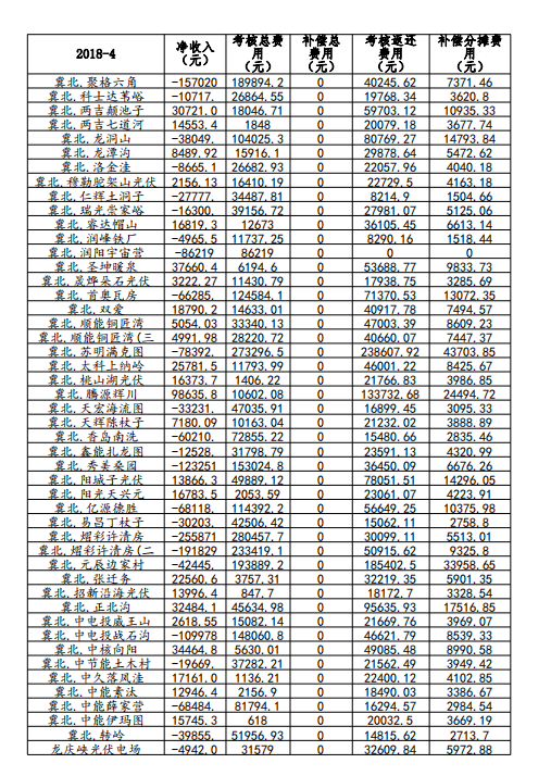
4月京津唐电网光伏电站并网运行管理运行结算汇总表
2018-06-01 09:50:58
浏览:
1079
次
来自:国家能源局华北监管局
分享:
2018年4月份京津唐电网光伏发电站并网运行管理运行结算汇总表如下:
【责任编辑:sunnyz】
漂亮
鲜花
雷人
鸡蛋
刚表态过的朋友 (
0 人
)
投稿、咨询、爆料——电话:(021)50315221-812,邮箱:edit@solarzoom.com,QQ:2880163182
关键字阅读:
京津唐电网
光伏电站
相关阅读
京津唐电网2020年12月“两个细则”试运行结果的通知(光伏)
华北能源监管局关于发布京津唐电网5月“两个细则”试运行结果通知
京津唐电网4月“两个细则”及华北电力调峰辅助服务市场试运行结果
2月京津唐电网“两个细则”及华北电力调峰辅助服务市场试运行结果(光伏)
京津唐电网2018年12月“两个细则”及华北电力调峰辅助服务市场试运行结果
9月份京津唐电网光伏电站并网运行管理实施细则运行情况
2018年2月份京津唐电网光伏发电站 并网运行管理运行结算汇总表
华北能源监管局组织召开京津唐电网2017-2018年度厂网联席会
0条评论
还没有人评论过,赶快抢沙发吧!
已有0条评论,发表评论
最新评论
评论
匿名发表
重磅 他们在中国高效
SunPower因涉嫌财报不实
光伏概念股午后持续
665W!阿特斯正式发布7
重磅 他们在中国高效异质结俱乐部第二次圆桌会上都讨论了些啥?
异在当下,叠出未来 2023HJT异质结&叠层产业峰会来袭
专访赛拉弗CEO杨勇:N型风口无限可能,加大国内布局势在必行!
【独家】SNEC展会价格下行仍是主旋律,下游继续观望 一周光伏产业链价格
10GW级规模化量产!HJT异质结迎来加速爆发
更多文章
>>
微信公众号:
Solarzoom光伏太阳能网
微博公众号:
SOLARZOOM光伏太阳能网
英媒:清洁能源业对中国经济增长贡
美国多州推进“阳台”插电式太阳能
3.043~3.413元/W!华能460MW光伏EPC中标候
百万卫星商业航天太空光伏 , 疯狂
大摩:特斯拉100GW光伏产能计划或使
SOLARZOOM专栏
>>
HJT/叠层一周最新动态8.31
HJT/叠层一周最新动态8.24
HJT/叠层一周最新动态8.17
HJT/叠层一周最新动态7.26
HJT/叠层一周最新动态7.20
十大热门文章
一天
一周
一月
重磅!晶澳科技与鉴衡认证签订太空
大摩:特斯拉100GW光伏产能计划或使
美国多州推进“阳台”插电式太阳能
英媒:清洁能源业对中国经济增长贡
100GW,远超美国地面需求!特斯拉要
美国在电力需求和能源辩论加剧之际
最高206.61%!美国对华光伏第二次双反
外媒:新型着色改造技术降低传统光
3.043~3.413元/W!华能460MW光伏EPC中标候
央企光伏组件集采再现1元/W报价,多
订阅电子邮件
每日资讯
光伏杂志
专题
每日光伏市场参考
马上订阅
专题推荐
更多>>
光伏杂志
更多>>
2017年SOLARZOOM光伏杂志7月刊
印度商工部反倾销局(DGAD)正式公告,将对中国大陆、台湾、马来西亚等地进口的太阳能电池展开反倾销调查。同时,欧盟对中国大陆的
关于我们
|
资讯服务
|
一站式服务
|
推广方案
|
行情报告
|
活动合作
|
法律声明
|
意见反馈
|
诚征英才
|
网站导航
|
友情链接
|
联系我们
|
网站动态
Copyright:2014 SOLARZOOM All Right Reservered.沪ICP备10206511号
联系我们:021-50315221 服务邮箱:10000@solarzoom.com